汇通网4月20日讯—— 张金宇;4.20如期跳空低开,先空后多震荡布局.
张金宇;4.20如期跳空低开,先空后多震荡布局.
投资的价值不在于利润有多大,而在于能将风险降到最低,每一笔交易都是有风险的,对的时候能控制自己的贪欲,错的时候能控制亏损,一个没有风险管控意识的投资者,最终都将走向灭亡,没有永远对的交易策略,但一个不设止损的交易者,只要有一次错误,就永无翻身的机会。
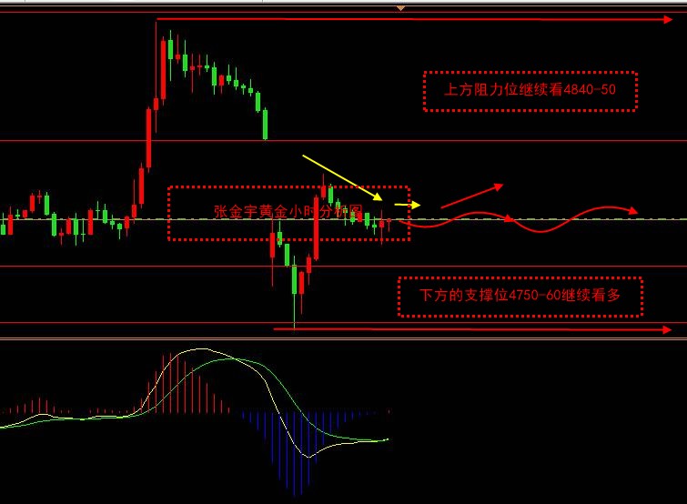
黄金方面,周末咱们给大家明确了跳空低开的预期,今天黄金也是如期大幅跳空,开盘在4765美元一线,最低下探至4734美元。触及低位后盘面快速反拉,目前最高冲高到4814美元附近。大家关心震荡行情下该如何布局,我的观点很明确:今天先借助亚盘反弹去空,整体先空后多,围绕震荡区间操作。
首先要理清当前的行情性质。今天低开后出现了较大幅度的反弹,这和周五早间急跌后的反弹很相似——下跌过程中反弹幅度偏大,后续再想破低就难度增加了。这种走势即便不改变整体回落节奏,也会让盘面进入震荡周期,绝对不是单边极弱的形态。同时,上周金价冲高至4890附近后迎来大幅回落,直接反转走强也不现实,所以今日核心基调就是震荡,多空都有机会。
其次,重点关注今日跳空缺口的压制。今天的跳空缺口位于4830-4835美元区间,这个位置是日内关键压制,也是空头的核心防守线,更是最理想的放空位置。同时操作上要注意时间节奏,如果亚盘反弹幅度有限,可参考上周五的盘面表现,这类行情往往在午后13-14点时段回落。届时若价格仍未有效反弹,可将4814附近作为短期压力,激进布局空单。总之,今日放空主要等待亚盘充分反弹后再参与,节奏和周五类似。

对于多头布局,下方4760美元是早间首轮下探的低点,后续再次回探这个位置,大概率会形成类似头肩底形态的右肩结构,是关键的做多切入点。而多头的核心防守位在4737美元,刚才也提到,反弹幅度偏大后再破低的概率降低,因此今日白盘跌破4737的可能性极小,这个位置就是多头的生命线!
没有不成功的投资,只有不成功的操作。对现货原油黄金白银等贵金属投资有兴趣却无从下手或者已经在接触却并不理想的朋友,欢迎关注张金宇理财获得最新资讯,获取每日行情走势分析,交易策略指导;
霍尔木兹海峡24小时惊天反转:伊朗强硬派强势掌控,特朗普和平协议面临严峻考验
美国扣押伊朗货船引发报复风暴:中东和平谈判岌岌可危,全球石油供应再添变数
黄金交易提醒:周末中东局势突变,伊朗拒绝第二轮谈判,金价大幅跳空低开
风险提示:
任何在本网站刊载的信息包括但不限于资讯、评论、预测、图表、指标、信号等只作为参考,您须自主做出投资决定,并对该决定负责。本网站所含数据未必实时、准确,所以价格可能并不准确且可能与实际市场价格行情存在差异,该价格仅为指示性价格反映行情走势,不宜为交易目的使用。投资者依据本网站提供的信息、资料及图表等信息进行交易行为所造成的损失与本网站无关。
全球财经,极速了解








